[건국대]2011학년도 수시1차 모집 논술고사 문제지 (자연계)
◆ 다음 각각의 제시문을 읽고 문제에 답하여라.
[제시문 1]
(가) 2009년 노벨생리의학상은 텔로미어와 텔로머라제 효소의 기능을 규명한 세 명의 미국 과학자 블랙번, 그라이더, 쇼스택에게 돌아갔다. 세포는 분열 전에 염색체를 복제한다. 염색체의 끝은 텔로미어로 구성되며, 세포가 분열할 때마다 각 텔로미어의 끝은 조금씩 없어져서 텔로미어가 거의 소실되면 결국 세포는 분열을 멈추고 죽게 된다. 따라서 사람 몸의 세포들은 텔로미어라는 내재된 시계에 의해 약 50회 정도의 세포분열 후 소명을 마치는 것이다. 그리고, 텔로머라제는 염색체 말단에서 소실된 텔로미어를 복원하는 효소이다. 세포분열 과정 중 염색체는 텔로미어가 짧아진 두 염색체로 복제된 후 텔로머라제의 기능에 의해 각 염색체의 텔로미어가 복원된다. 이후 세포는 둘로 나누어진다. 텔로머라제는 대부분의 체세포에서 양이 매우 적고 활성이 낮으나, 조혈간세포나 암세포 등에서는 매우 많은 양이 관찰되고 활성도 높다.
(나) 조혈간세포는 적혈구, 백혈구, 혈소판 등의 혈액세포들을 평생에 걸쳐 세포분열을 통해 생산해 내고 있는 극소수의 줄기세포들이다. 백혈병에 대한 치료로 골수이식을 할 때 이식되는 세포들이 바로 조혈간세포들이다. 암은 비정상적으로 자라는 악성종양이며, 암세포의 특징은 세포분열을 멈추지 않고 계속 한다는 것이다. 암세포의 무한증식을 가능하게 하는 것이 텔로머라제 효소인데, 암세포에서는 텔로머라제가 짧아진 텔로미어를 복원한다. 최근 일부 제약회사에서는 텔로머라제 억제제를 항암제 개발에 이용하고 있다. 즉, 항암물질이 암세포의 텔로머라제의 기능을 억제하면, 텔로미어의 길이가 짧아져서 암세포는 무한증식을 멈추고 죽게 된다.
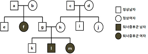
(다) 텔로미어 복원 이상으로 생겨나는 질병들도 있다. 워너증후군은 청소년기에 주름의 생성, 머리의 탈색, 대머리, 백내장, 근육 위축 등과 같은 노화 증상을 유발하는 유전병이다. 워너증후군 환자들은 텔로머라제를 도와서 텔로미어의 효율적인 복원을 가능케 하는 RecQ라는 효소가 결핍되어 있다. 따라서 워너증후군 환자들의 세포에서는 텔로미어가 일찍 짧아지게 된다. 일반적으로 유전병의 유전양식은 상염색체성 우성, 상염색체성 열성, 성염색체성 우성, 성염색체성 열성 등으로 나누어진다. 이러한 유전양식은 가계도 분석을 통해 판별할 수 있다.
◆ 다음 각각의 제시문을 읽고 문제에 답하여라.
[제시문 1]
(가) 2009년 노벨생리의학상은 텔로미어와 텔로머라제 효소의 기능을 규명한 세 명의 미국 과학자 블랙번, 그라이더, 쇼스택에게 돌아갔다. 세포는 분열 전에 염색체를 복제한다. 염색체의 끝은 텔로미어로 구성되며, 세포가 분열할 때마다 각 텔로미어의 끝은 조금씩 없어져서 텔로미어가 거의 소실되면 결국 세포는 분열을 멈추고 죽게 된다. 따라서 사람 몸의 세포들은 텔로미어라는 내재된 시계에 의해 약 50회 정도의 세포분열 후 소명을 마치는 것이다. 그리고, 텔로머라제는 염색체 말단에서 소실된 텔로미어를 복원하는 효소이다. 세포분열 과정 중 염색체는 텔로미어가 짧아진 두 염색체로 복제된 후 텔로머라제의 기능에 의해 각 염색체의 텔로미어가 복원된다. 이후 세포는 둘로 나누어진다. 텔로머라제는 대부분의 체세포에서 양이 매우 적고 활성이 낮으나, 조혈간세포나 암세포 등에서는 매우 많은 양이 관찰되고 활성도 높다.
(나) 조혈간세포는 적혈구, 백혈구, 혈소판 등의 혈액세포들을 평생에 걸쳐 세포분열을 통해 생산해 내고 있는 극소수의 줄기세포들이다. 백혈병에 대한 치료로 골수이식을 할 때 이식되는 세포들이 바로 조혈간세포들이다. 암은 비정상적으로 자라는 악성종양이며, 암세포의 특징은 세포분열을 멈추지 않고 계속 한다는 것이다. 암세포의 무한증식을 가능하게 하는 것이 텔로머라제 효소인데, 암세포에서는 텔로머라제가 짧아진 텔로미어를 복원한다. 최근 일부 제약회사에서는 텔로머라제 억제제를 항암제 개발에 이용하고 있다. 즉, 항암물질이 암세포의 텔로머라제의 기능을 억제하면, 텔로미어의 길이가 짧아져서 암세포는 무한증식을 멈추고 죽게 된다.
(다) 텔로미어 복원 이상으로 생겨나는 질병들도 있다. 워너증후군은 청소년기에 주름의 생성, 머리의 탈색, 대머리, 백내장, 근육 위축 등과 같은 노화 증상을 유발하는 유전병이다. 워너증후군 환자들은 텔로머라제를 도와서 텔로미어의 효율적인 복원을 가능케 하는 RecQ라는 효소가 결핍되어 있다. 따라서 워너증후군 환자들의 세포에서는 텔로미어가 일찍 짧아지게 된다. 일반적으로 유전병의 유전양식은 상염색체성 우성, 상염색체성 열성, 성염색체성 우성, 성염색체성 열성 등으로 나누어진다. 이러한 유전양식은 가계도 분석을 통해 판별할 수 있다.

더욱 상세한 사항은 첨부파일을 참고하세요.
[ⓒ 대학저널. 무단전재-재배포 금지]













